管综数学考点
如何通过题干,快速找到考点?——管综数学启蒙
来源:原创 作者:小昭 2023/10/10 04:40:09
1728人看过
做数学题第一步:判断考查的考点

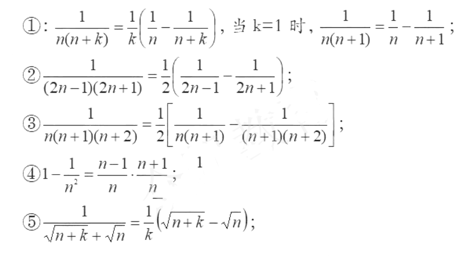
裂项公式的特征比较容易判断出来,题干的式子看上去非常复杂,裂项的目的是为了消项,化复杂为简约,所以裂项之后,一定要消去中间的部分,但是一定要注意第一部分和最后一部分,不要消错了。这些年也在不断灵活变化,运算量不断增加,大家要牢牢记住公式并灵活运用,同时注意避免计算失误。
【往年真题】


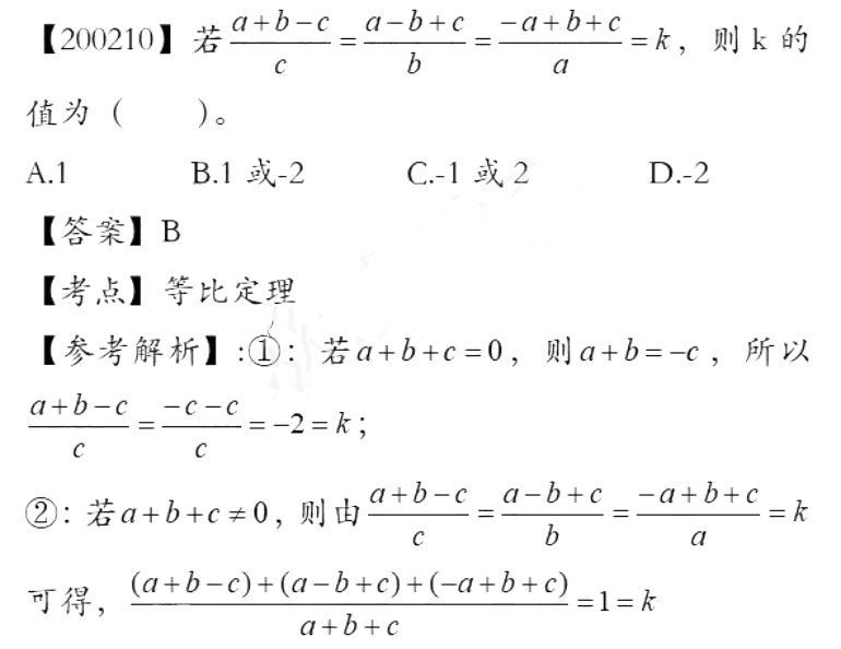
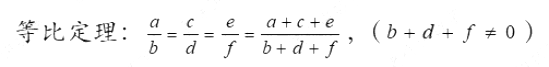
特征二:三个比相等——等比定理
【核心经验总结】
等差数列和等比数列考点中,等比定理相对最容易记住,但也最容易出错。原因在于,我们最容易忽略等比定理运用的前提是:分母和不为0。而且题目一般式不会告知分母和的情况,这就需要我们讨论分母为0和不为0的情况。
【往年真题】


判别式是我们在学一元二次方程和函数部分知识点中最重要的考点之一,我们只需要在题干中寻找有没有上述黄色的字体部分,如果题干表述有,那就一定是考查我们对判别式的熟悉度。
【往年真题】



【往年真题】
资讯排行








